Dual energy CT入門②
こんにちは!
第2回ではDECTの簡単な原理についてまとめていきます。
DECTの原理といっても、実は各社各装置のアプリケーションによって仕組みや目的が異なっている場合があるので、全てが今回説明する原理に基づくとは限りません。
投影データベースなのか画像ベースなのか、撮影方式はどれかなどによっても異なります。
といった理由もあり、今回紹介するのは基本的な原理になります。
では、基本の物理から確認していきましょう!
DECTの物理
光子と物質の相互作用
この記事を読んでくれている方にとっては退屈かもしれませんが、一応光子と物質の相互作用について復習しておきます。
光子と物質の相互作用には弾性散乱、光電吸収、コンプトン散乱、電子対生成、光核反応があります。
線減弱係数はこれらの相互作用それぞれの減弱係数の和となります。
診断領域で用いられるX線のエネルギーでは特に光電吸収とコンプトン散乱が主となります。
したがって、CT撮影によって得られる線減弱係数は光電吸収とコンプトン散乱の線減弱係数の和となります。
式で示すとこんな感じですね。
光電効果とコンプトン散乱の2つの相互作用はどちらも光子のエネルギーに依存して変化しますよね。
このため、先程の式は、
と書けます。
これで完成と言いたいところですが、まだ考慮しなければならないものがあります。
線減弱係数、正確に言うと質量減弱係数は物質によって異なるものでしたよね。
X線のエネルギーが同じであっても、光電効果が多くを占める物質とコンプトン散乱が多くを占める物質があります。

つまり、物質の質量減弱係数は物質(原子番号)に依存するファクタと物質に依存しないエネルギーの関数に分けることができると考えられます。
これはすなわち、各物質の質量減弱係数が光電効果とコンプトン散乱のエネルギー関数の線形荷重和で表せるということです。
何かとても難しいことを言っているように見えるかもしれませんが、式で表すと以下のような簡単な式で表せます。
:光電効果のエネルギー関数
:コンプトン散乱のエネルギー関数
、
:物質固有の荷重係数
この光電効果とコンプトン散乱のエネルギー関数(この言葉があっているのかは微妙ですが)がそれぞれヨードと水など2つの基準物質の質量減弱係数として考える場合も多々あります。
これは診断領域のエネルギーではヨードの相互作用がほぼ光電効果、水の相互作用がほぼコンプトン散乱に近似できるからです。
DECTのアプリケーションではむしろ2つの基準物質によるものの方が主流ですが、個人的には上記の考え方の方が原理に忠実だと思ったので今回はこの考え方でいきます!
Dual Energyの意味
先程の式を眺めてみると、左辺のは撮影によって得られる値であり、右辺の光電効果・コンプトン散乱のエネルギー関数は既知のものであるため、分からないのは物質固有のパラメータである
、
です。
以前少し書いたように、仮想単色X線画像を作成するためには各物質のCT値(線減弱係数)がエネルギーの変化に対してどのように変化するかが分からなければいけません。
ではこの、
を求める方法について考えてみましょう。
まず、任意のエネルギーE(実際には実効エネルギー)で撮影した画像からが得られます。
さらに、光電効果・コンプトン散乱それぞれのエネルギー関数もエネルギーを決めれば一意に定まるため、定数と考えられます。
こうした場合、先程の式は、
を未知数とする二元一次方程式と考えられます。
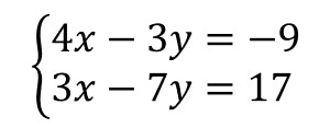
たとえば、このような式と同じように考えられます。

これを解きたいところですが、未知数が2つあるのに方程式は1つしかありません。
これが解けないことは中学で数学をやっていればわかるはずです。
では、どうすればよいか。
そうですね。同じxとyが満たす式をもう一つ探すしかありません。

こうなればただの連立方程式になり、解くことができると思います。
ではCTではどうすればいいか。
もうピンときている方もいると思いますが、異なるエネルギーで撮影すればよいということになりますね!
低い方のエネルギーを、高い方のエネルギーを
とすると、
これは先ほどの連立方程式を解くのと同じ計算を行えばよいことになります。
ここが2つの異なるエネルギーで撮影する意味になります。
理想を言えばもっとたくさんのエネルギーで撮影すればいいと思うかもしれませんが、そんなことをする意義も時間もありません。
2つで十分ということです。
これにより物質固有のパラメータ、
が求められました。
では最後に仮想単色X線画像の作成について見ていきます。
仮想単色X線画像の作成
ここまで読んで大方理解できていれば、もう説明はいらないかもしれませんが一応説明していきます。
先程の計算で物質固有のパラメータ、
を求めることができました。
となれば、あとは仮想単色X線画像を作成したい任意のエネルギーで撮影したときのを求めることになります。
簡単ですね。
光電効果・コンプトン効果それぞれのエネルギー関数にそのエネルギーを代入してやれば任意のエネルギーにおけるが求まるというわけです。
この過程を画像のピクセルごとに行っていけば仮想単色X線画像が作成できることは想像に難くないと思います。
かなり単純化しましたが、基本的にはこのような原理で仮想単色X線画像が作成できます。
ただ、これはかなり理相的な話であって、もう少し考えなければならないことがあります。
DECTの課題
DECTの課題はまぁたくさんあると思いますが、今回はエネルギーセパレーションについてだけすこし説明します。
知っての通り、CT撮影に用いるX線は単一エネルギーではなく連続エネルギーを持つ連続X線です。
先程まで説明してきた原理で使用する2つの異なるエネルギーはどちらも実効エネルギーになります。
なんとなくのイメージで十分ですが、エネルギー成分の重複を少なくするため、使用する2つの異なるエネルギーはできる限り離れていることが望ましいです。

これがエネルギーセパレーションが良いということです。
普通に管電圧を変えただけでは重複しているエネルギー成分が多く、エネルギーセパレーションが悪い場合が多いので、フィルタを使ったり、検出器を変えたりなどいろいろな工夫がされているようです。
何となくDECTの原理が理解できたでしょうか?
次回はDECTの撮影方式についてまとめていきます。
何か誤りがありましたら教えてください。
ではまた!